← besarnya vektor a b adalah Vektor a besarnya 3 satuan vektor b besarnya 2 satuan. bila sudut yang vector (a+b)x(a-b) Cross vector vectors axb called let triad handed right answer figure solved problem done loading been perpendicular →
If you are looking for Diketahui vektor p=i^+2 j^,vektor q=4 i^+ 2 j^ dan teta adalah sudut you've visit to the right web. We have 35 Pictures about Diketahui vektor p=i^+2 j^,vektor q=4 i^+ 2 j^ dan teta adalah sudut like diketahui vektor u = (1,4,9), vektor v =(2,5,-3), dan vektor w = (3,1,2, Diketahui vektor a = (2, –6, –3) dan b = (1, 0, –2). Tentukan: - Mas Dayat and also Diketahui vektor-vektor a, b, dan c, merupakan sisi-sisi suatu segitiga. Here you go:
Diketahui Vektor P=i^+2 J^,vektor Q=4 I^+ 2 J^ Dan Teta Adalah Sudut
brainly.co.id
diketahui sudut teta membantu terlampir jawaban
Diketahui Vektor U (7, -4, 1) Dan Vektor V (-2, -1, 0). Proyeksi Vektor
brainly.co.id
diketahui proyeksi orthogonal penjelasan
Diketahui Vektor A = 3i – 2j + K, B = 2i + J + 4k, Dan C = –i + 3j – 2k
www.masdayat.net
3i 2i 2j diketahui 3j
Diketahui Vektor U = (2 –1 3) Dan V (1 3 –2). Proyeksi Skalar Ortogonal
www.masdayat.net
diketahui ortogonal proyeksi 3v 2u skalar
Diketahui Vektor U = (2 –1 3), V = (5 7 2), Dan W = (1 3 –4). Vektor 2u
www.masdayat.net
diketahui 3w 2u
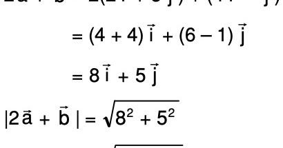
Diketahui Vektor A = 2 I + 3 J Dan B = 4 I – J. Panjang Vektor 2a + B
www.masdayat.net
Jika Diketahui Vektor A = 2i + 4j - K, Vektor B = 2i -2j + K, Vektor C
brainly.co.id
2j jawabannya lampiran
Diketahui Vektor-vektor : Vektor A=(x, 2, -1), Vektor B=(4, -3, 6), Dan
brainly.co.id
Diketahui Vektor-vektor : Vektor A=(x, 2, -1), Vektor B=(4, -3, 6), Dan
brainly.co.id
langkah penjelasan
Diketahui Vektor A (1 2 3) , Vektor B (4 4 M) Dan Vektor C (3 -4 5
brainly.co.id
diketahui tegak lurus
Diketahui Vektor A= (4 -2), B= (2 3) Dan C= (6 -1) Tentukan Komponen
brainly.co.id
komponen kolom diketahui tentukan semoga mmbntu
Diketahui Vektor-vektor A, B, Dan C, Merupakan Sisi-sisi Suatu Segitiga
brainly.co.id
Diketahui Titik A(2, –5, 8) Dan B(–4, 1, 6). Panjang Vektor AB - Mas Dayat
www.masdayat.net
titik diketahui jawaban
Diketahui Vektor A=(2 -3),vektor B= (1 4),dan Vektor C= (-1. 1) Hasil
brainly.co.id
diketahui
Diketahui Vektor A = (4 1 –2) Dan B = (–3 4 X). Jika Proyeksi Skalar
www.masdayat.net
diketahui ortogonal skalar proyeksi
Diketahui Vektor A = ( 4 -2 2 ) Dan B = ( 2 -6 4) Proyeksi Ortogonal
brainly.co.id
diketahui proyeksi ortogonal
Diketahui Vektor-vektor Sebagai Berikut. Gambarlah Vektor: A. 3/5 A
www.masdayat.net
gambarlah diketahui berikut jawab
Diketahui Vektor-vektor A, B, Dan C Dengan B = (-2, 1), B ⊥ C, A – B
www.masdayat.net
diketahui luas segitiga
Diketahui Titik A (3,2-1),B(2,1,0) Dan C (-1,2,3) Jika Vektor AB Wakil
brainly.co.id
titik diketahui
Rumus Cepat-matematika-vektor
www.slideshare.net
rumus matematika tentukan
Diketahui Vektor A = (3 1 2) Dan B = (3 –5 –2). Tentukan Besar Sudut
www.masdayat.net
sudut tentukan diketahui jawab dibentuk
Diketahui Vektor² A=(6,0) ,b=(-3,-4),dan C=(5,2) . Tentukan A)a×b
brainly.co.id
diketahui tentukan sampe yaa jawaban
Diketahui Vektor A = (3, 4, -2) Dan B = (x, 2, -1). Jika Panjang
brainly.co.id
ortogonal proyeksi panjang skalar diketahui
Diketahui Vektor A = (2,4,3) , B = (1,3,-2) , C =( -5,2,3). Jika 2a
brainly.co.id
diketahui
Diketahui Vektor A= (4, 3), Vektor B=(1, 2), Dan Vektor C=(5, 5). Jika
brainly.co.id
diketahui pq
Diketahui Vektor P=1,2,3 , Vektor Q=1,0,2 , Vektor R=4,2,1 Jika 2p+3q
brainly.co.id
3q nilai tentukan diketahui
Diketahui F(X) 2+3 Dan G(X)=3X2+2X+5 | Search Trends Today
searchtrendstoday690.blogspot.com
diketahui 3x2 fungsi
Diketahui Vektor - Vektor A = (6 0), Vektor B = (-3 -4) Dan Vektor C
brainly.co.id
tentukan diketahui
Diketahui Koordinat Titik A(2, 3, –4), B(1, –2, 5), Dan C(–3, 1, 2
www.masdayat.net
titik koordinat diketahui tentukan
Diketahui Vektor U=(3,7,1) Vektor V=(4,-2,-6) Dan Vektor W=(6,-1,-1
brainly.co.id
3v diketahui 2w semiga innii
Diketahui Vektor U = (1,4,9), Vektor V =(2,5,-3), Dan Vektor W = (3,1,2
brainly.co.id
diketahui
Diketahui Vektor A = (2, –6, –3) Dan B = (1, 0, –2). Tentukan: - Mas Dayat
www.masdayat.net
diketahui tentukan
Diketahui Vektor A = -4i+k Dan Vektor B =4i-k Jika Q Adalah Sudut
brainly.co.id
4i diketahui sudut
Diketahui Vektor A = (–2 1 7) Dan B = (2 –1 2). Tentukan: Proyeksi
www.masdayat.net
proyeksi diketahui jawab tentukan skalar
Diketahui U=(2 -4) Dan V=(-3 5). Hasil Dari 2u+3v Adalah
colearn.id
Diketahui vektor u = (1,4,9), vektor v =(2,5,-3), dan vektor w = (3,1,2. Diketahui vektor-vektor sebagai berikut. gambarlah vektor: a. 3/5 a. Diketahui proyeksi ortogonal
