← vector x shoes review Running shoes vector diketahui vektor a 2 4 b 3 4 0 Diketahui tentukan sampe yaa jawaban →
If you are searching about Dua buah vektor a dan b masing-masing besarnya 5 N dan 12 N, saling you've came to the right web. We have 35 Pictures about Dua buah vektor a dan b masing-masing besarnya 5 N dan 12 N, saling like Vektor A besarnya 3 satuan dan vektor B besarnya 2 satuan. Bila sudut, Dua buah vektor gaya besarnya sama yaitu 5 N. Jika keduanya dijumlahkan and also Ditentukan 2 buah vektor yang sama besarnya = F. Bila perbandingan. Here it is:
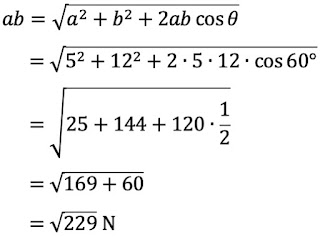
Dua Buah Vektor A Dan B Masing-masing Besarnya 5 N Dan 12 N, Saling
www.masdayat.net
masing mengapit besarnya sudut saling esar
Perhatikan Gambar Berikut. Besarnya Sudut X Yang Tepat Adalah - Brainly
brainly.co.id
tepat besarnya perhatikan
Vektor A Besarnya 8 Satuan Dan Vektor B Besarnya 6 Satuan. Bila Sudut
brainly.co.id
sudut dibentuk satuan besarnya
Dua Buah Vektor Momentum Masing-masing Besarnya 5 Kg.m/s Dan 3 Kg.m/s
nesia.ir
Cara Gampang Menguraikan Vektor Menjadi Komponennya - Ilmu Fisika
rumus menguraikan komponennya mencari gampang memakai nilai sedangkan arah persamaan
Diberikan Dua Buah Vektor Masing Masing Vektor Dan Besarnya Adalah A=8
brainly.co.id
satuan perkalian silang
Diketahui Vektor A (9 -3 6) Dan Vektor B = (3 5 -2) Sudut Antara Vektor
brainly.co.id
sudut diketahui
Perhatikan Gambar Vektor Vektor Berikut Ini!manakah Vektor Yanga
brainly.co.id
arahnya besarnya manakah perhatikan berikut berbeda
Dua Buah Vektor Gaya Besarnya Sama Yaitu 5 N. Jika Keduanya Dijumlahkan
www.masdayat.net
besarnya sudut yaitu dijumlahkan keduanya apit
Sejarah Vektor Matematik Tambahan : Contoh Soal Vektor Beserta Rumus
mikaherianti.blogspot.com
linear suatu pengungkapan
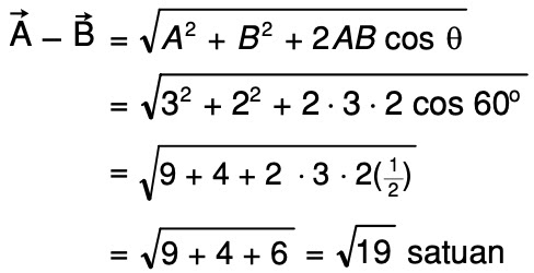
Vektor A Besarnya 3 Satuan Dan Vektor B Besarnya 2 Satuan. Bila Sudut
www.masdayat.net
satuan besarnya selisih sudut dibentuk kedua
Gambar Tersebut Mendapat Percepatan 2m/s².Gaya Gesekan Yang Terjadi
brainly.co.id
gesekan mendapat poros percepatan terjadi gerobak
Besar Sudut Antara Vektor A Dan B (Sudut Antara 2 Vektor)
idschool.net
sudut mencari
Jika Vektor A Dan B Membentuk Sudut Sebesar 45 - Kumpulan Rumus Besaran
lissaschweitzer.blogspot.com
besar masing besarnya dua
Beda Potensial Antara Titik A Dan B - Terkait Perbedaan
terkaitperbedaan.blogspot.com
beda potensial titik perbedaan itulah
Panjang Vektor A Dan B Masing-masing Adalah 8 Satuan Dan 17 Satuan
brainly.co.id
masing panjang hasil satuan
Vektor: Pengertian, Gambar, Notasi, Macam, Sifat Dan Nilai Atau
notasi nilai sifat besarnya huruf disimbolkan besaran abjad
Jenis Jenis Sudut Berdasarkan Besarnya
sudut tumpul pengertian lancip siku contohnya dalam materi besarnya konsep serta derajat belajarmtk rumusrumus rumus kurang lengkapnya penjelasan apotema kerucut
Segitiga ABC Siku-siku Di... | Lihat Cara Penyelesaian Di QANDA
qanda siku segitiga sudut
Dua Vektor Gaya Tampak Pada Gambar Di Atas. Jika Salah
topgambarilustrasi.blogspot.com
Ditentukan 2 Buah Vektor Yang Sama Besarnya = F. Bila Perbandingan
www.masdayat.net
perbandingan sudut ditentukan besar besarnya dibentuk
Dua Buah Vektor Gaya Besarnya Sama Yaitu 4 N. Jika Keduanya Dijumlahkan
www.masdayat.net
besarnya dua keduanya dijumlahkan yaitu
Perhatikan Gambar Di Bawah. Dua Buah Vektor Masing-masing Besarnya 10 N
brainly.co.id
nilai masing arah oa menghasilkan bawah perhatikan
Besar Sudut Antara Vektor A Dan B (Sudut Antara 2 Vektor)
idschool.net
sudut panjang idschool lurus saling tegak
Tiga Buah Vektor Gaya Masing-masin Besarnya F1 = 10 N, F2 = 30 N, Dan
www.masdayat.net
Contoh Soal: Contoh Soal Gambar Vektor Matematika
contoh-soal-hd.blogspot.com
Perhatikan Gambar Berikut! Tiga Buah Vektor Gaya,...
roboguru.ruangguru.com
pembahasan
Vektor A Besarnya 3 Satuan Vektor B Besarnya 2 Satuan. Bila Sudut Yang
brainly.co.id
selisih besarnya satuan sudut dibentuk bila
11+ Gambar Vektor 6 Satuan
dina-graphics.blogspot.com
satuan
Tiga Buah Vektor Gaya Masing-masin Besarnya F1 = 10 N, F2 = 30 N, Dan
www.masdayat.net
masing besarnya arah masin sumbu ketiga
Diberikan Dua Buah Vektor Gaya Yang Sama Besar Masing-masing Vektor
brainly.co.id
Besaran Vektor Pada Materi Fisika
jawabpedia.blogspot.com
besaran fisika
Resultan Ke Tiga Vektor Di Samping Besarnya Adalah - Brainly.co.id
brainly.co.id
resultan besarnya samping
Yang Termasuk Besaran Vektor Adalah - Blog Sekolah
besaran skalar adalah termasuk pengertian
Jika Vektor A Dan B Membentuk Sudut Sebesar 45 - Siap Un Matematika Ipa
amydublinabcdf.blogspot.com
sudut
Masing besarnya arah masin sumbu ketiga. Perbandingan sudut ditentukan besar besarnya dibentuk. Arahnya besarnya manakah perhatikan berikut berbeda
