← mouth expressions vector free Cartoon mouth expressions set. vector illustration. 2301252 vector art mouth vector file Vector graphic footage clipart microphone graphics ai pills eps grafico mouth diseño freevector clip users file movie para todos clipground →
If you are searching about OneClass: Complete the motion diagram by adding acceleration vectors you've came to the right page. We have 35 Pictures about OneClass: Complete the motion diagram by adding acceleration vectors like Is centripetal acceleration constant? - Physics Stack Exchange, Business acceleration concept | Premium Vector and also Acceleration Vectors Example - YouTube. Read more:
OneClass: Complete The Motion Diagram By Adding Acceleration Vectors
oneclass.com
acceleration oneclass graded
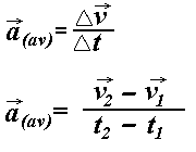
Physics 30 2012 Period 3: Average, Instantaneous And Constant Acceleration
physics30p3.blogspot.com
acceleration average physics constant formula vector vf instantaneous object velocity v2 final being
Solved: Given That The Acceleration Vector Is ( Â ) Find Â... | Chegg.com
www.chegg.com
vector acceleration given velocity position transcribed text
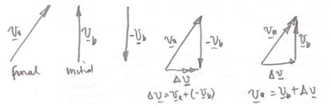
Vectors And Motion ‹ OpenCurriculum
opencurriculum.org
acceleration vector vectors motion opencurriculum magnitude velocity implies change figure
Why Is Acceleration A Vector At Vectorified.com | Collection Of Why Is
vectorified.com
acceleration
2.5 Motion Equations For Constant Acceleration In One Dimension
pressbooks.bccampus.ca
acceleration velocity final physics motion constant calculate object negative equations positive initial vector airplane falling dimension moving its opposite equation
Object Experiences Constant Acceleration Attains Velocity Shown Figure
www.createmepink.com
acceleration attains createmepink
Acceleration
www.physicsclassroom.com
velocity direction change acceleration vector diagram speed constant does magnitude circles shown uniform changing
Acceleration Vectors Example - YouTube
www.youtube.com
acceleration vectors example
Velocity And Acceleration Vectors In Matlab
mse.redwoods.edu
acceleration matlab vectors velocity particle adding path
17Calculus - Vector Functions - Acceleration Vector
17calculus.com
acceleration functions
Acceleration Vector - Physics Key
www.physicskey.com
acceleration vector particle coincides moves curve constant normal speed figure
Rock Me, Einstein --- Some Questions On Special And General Relativity
www.thephysicsmill.com
acceleration direction velocity motion change types linear same where relativity einstein questions rock general special race thephysicsmill figure
Solved Find The Average Acceleration Vector At Point 1. Draw | Chegg.com
www.chegg.com
acceleration vector average point solved expert answer velocity
Why Is Acceleration A Vector At Vectorified.com | Collection Of Why Is
vectorified.com
acceleration velocity tessshebaylo vectorified aceleracion velocidad
Kinematics - How To Think Of Acceleration Vectors - Physics Stack Exchange
physics.stackexchange.com
acceleration vectors think situation same another looking way
Instantaneous Acceleration
www.fisicalab.com
acceleration vector velocity instantaneous components cartesian its
Average Acceleration
www.fisicalab.com
velocity vector acceleration average physics motion variation its direction magnitude
Spice Of Lyfe: Physics Formulas For Velocity Acceleration And Displacement
orvelleblog.blogspot.com
angular acceleration velocity linear equation physics vs tangential between relation momentum formula force mass direction motion formulas radius relationship rotational
Homework And Exercises - How To Know The Direction Of The Acceleration
physics.stackexchange.com
acceleration direction vector know points which
5.3: Velocity, Acceleration, And Force - Physics LibreTexts
phys.libretexts.org
acceleration centripetal velocity circle circular motion direction object force does physics speed friction center constant body which moving change around
Why Is Acceleration A Vector At Vectorified.com | Collection Of Why Is
vectorified.com
acceleration vectorified
Vector Speedometer Scale. Concept Of Speed And Acceleration. Vector
www.alamy.com
acceleration speedometer
Homework And Exercises - How Can I Add An Acceleration Vector To A
physics.stackexchange.com
acceleration vector direction velocity different calculate object stack
Solved Find The Velocity And Position Vectors Of A Particle | Chegg.com
acceleration particle transcribed
Solved The Following Figure Shows The Acceleration Vector A | Chegg.com
www.chegg.com
acceleration trajectory transcribed
Constant Acceleration Vectors : ExamSolutions Maths Revision - YouTube
www.youtube.com
acceleration
Why Is Acceleration A Vector At Vectorified.com | Collection Of Why Is
vectorified.com
acceleration vectorified
P-dog's Blog: Boring But Important: Online Reading Assignment: Constant
waiferx.blogspot.com
acceleration constant motion equation uniform equations given boring important dog responses selected edited below
Solved: The Magnitude Of The Acceleration Vector A Is 10 Cm/s2. Us
www.chegg.com
acceleration
FREE CSS TEMPLATE 66 BY Http://www.getcsstmplates.com
ffden-2.phys.uaf.edu
acceleration velocity motion speed graph example vector direction changing constant word its zero 7th erickson growth choose
Business Acceleration Concept | Premium Vector
www.freepik.com
acceleration business vector premium concept
How To Graph Acceleration Vectors On Position Axis? | Physics Forums
acceleration graph vectors position axis physics vertical component constant graph2
The Acceleration Vector
vias.org
vector acceleration velocity physics change points key
Is Centripetal Acceleration Constant? - Physics Stack Exchange
physics.stackexchange.com
acceleration centripetal constant velocity physics vectors point particle begingroup stack
Constant acceleration vectors : examsolutions maths revision. Acceleration vector direction velocity different calculate object stack. Acceleration vector particle coincides moves curve constant normal speed figure
