← how to make a vector numpy Numpy vector illustrated visual guide medium arrays operations how to make a new vector c++ Vectors in c++ →
If you are searching about Opiniones de Vector normal you've came to the right page. We have 35 Pics about Opiniones de Vector normal like Vector normal a un plano - YouTube, Vector normal: cálculo y ejemplo and also How To Find Normal Vector Of A Line. Read more:
Opiniones De Vector Normal
www.datuopinion.com
opengl
Graphical Analysis; And Vectors
vectors vector direction
Make Vector Illustration And Simple Vector For Character By
www.fiverr.com
vector character simple illustration screen
How To Find Unit Normal Vector
thetoptutors.blogspot.com
Normal Vector -- From Wolfram MathWorld
mathworld.wolfram.com
normal vector wolfram mathworld surface
12 2 Unit Vectors - YouTube
www.youtube.com
Normal Vector Image - Qc - Mod DB
normal vector qc embed
Make Vector Line Art Or Simple Illustration By Luckyduck2014 | Fiverr
www.fiverr.com
fiverr
Vector Normal: Cálculo Y Ejemplo
www.lifeder.com
How To Calculate The Normal Vector To A Surface - YouTube
www.youtube.com
normal surface vector
Get Normal Vectors For Custom Mesh - Graphics - JMonkeyEngine Hub
normal vector mesh vectors custom compute triangle elevation inking lin ear triangles th sea using
Understanding Vectors – Part 2
blog.draftsperson.net
vectors
A Simple Explanation Of Vector Graphics & Illustrations - Digitional
www.digitional.com
explanation
How To Find Normal Vector
vectorpediaonline.blogspot.com
Vector Normal A Un Plano - YouTube
www.youtube.com
plano normal vector un
Make Vector Tracing And Illustration By Lukesaw158 | Fiverr
www.fiverr.com
How To Find Normal Vector Of A Line
goodttorials.blogspot.com
How To Find Normal Vector Of Two Vectors
goodttorials.blogspot.com
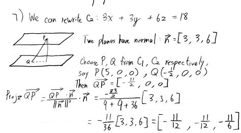
distance planes between vector vectors normal
Download Raster To Vector Normal 9.1
raster-to-vector-normal.soft32.com
raster normal vector
HOW TO CREATE A NORMAL RANDOM VECTOR IN RSTUDIO - YouTube
www.youtube.com
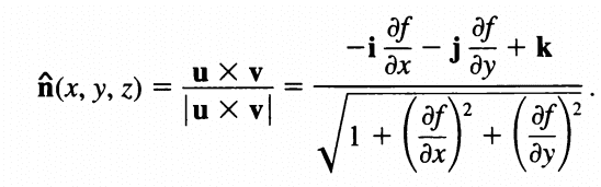
Calculus - How To Find A Normal Vector Of A Vector? - Mathematics Stack
math.stackexchange.com
basically derivative feedback
Vector Normal - YouTube
www.youtube.com
Unit Normal Vector Of A Surface | Physics Forums
normal vector surface unit physics
How To Find Unit Normal Vector
thetoptutors.blogspot.com
meet facfox
How To Find Normal Vector Of Two Vectors
vector normal vectors line perpendicular diagram equation shows which lesson
Geometry - From 3D -normal Vector To $N$ -dimensional Normal -vector
math.stackexchange.com
normal vector 3d dimensional stack
Determining The Unit Normal Vector To A Curve Given By A Vector
www.youtube.com
normal vector unit curve function
Normal Vector Of Plane Passing Through Point | Download Scientific Diagram
www.researchgate.net
Normal Vector -- From Wolfram MathWorld
mathworld.wolfram.com
normal vector wolfram mathworld surface unit
Types Of Vectors And Their Definitions In Physics – Scalars And Vectors
www.learncram.com
definitions scalars
How To Find Normal Vector Of A Line
goodttorials.blogspot.com
How To Find Normal Vector
vectorpediaonline.blogspot.com
calculus meshes
Normal Of A Vector
vectorpediaonline.blogspot.com
helix curvature normalizing
Convert Raster To Vector In Illustrator - YouTube
www.youtube.com
vector raster convert illustrator graphic adobe photoshop bitmoji getdrawings
Normal Vector | Superprof
www.superprof.co.uk
ortogonal ecuaciones perpendicular superprof recta
How to find normal vector of a line. Normal vector wolfram mathworld surface. Normal vector
