← example of vector space without norm Space normed linear example stack inner need imgur expalin shown please examples of non vector spaces Lec03 examples of vector spaces →
If you are looking for IonnKorr: Mathematical Spaces & Evolution you've came to the right web. We have 35 Pics about IonnKorr: Mathematical Spaces & Evolution like Normed Vector Space. Definition Norm and Examples - Normed Linear Space, IonnKorr: Mathematical Spaces & Evolution and also 数学代写|normed vector spaces 代写 | UprivateTA™- 数学代写. Here it is:
IonnKorr: Mathematical Spaces & Evolution
ionnkorr.blogspot.com
hierarchy hilbert mathematics visualize
Normed Vector Space - Wikipedia | Inner Product Space, Vector, Space
www.pinterest.com
normed inner pngsumo
Álgebra Linear - Relations Between Inner Product, Norm And Metric In
www.youtube.com
space vector inner norm metric linear
Normed Spaces Examples - YouTube
www.youtube.com
Normed Vector Spaces | Taylor & Francis Group
www.taylorfrancis.com
Rules For Defining Normed Vector Spaces - Math Questions, Answers, Theorems
xsquared.net
normed defining
11. Normed Linear Spaces. - Lars-Erik Persson
www.larserikpersson.se
normed equipped norms
Math 060 Fall 2017 111017C Inner Product Spaces 2, Normed Vector Spaces
www.youtube.com
Quotient Topology And Normed Vector Spaces - Mathematics Stack Exchange
math.stackexchange.com
normed vector quotient topology spaces dist equal actually
Search Results For "vector Space Model"
www.morebooks.de
normed
Normed Spaces And Metric Spaces - YouTube
www.youtube.com
normed
Definition Of Vector Space - YouTube
www.youtube.com
vector space definition
Normed Vector Space. Definition Norm And Examples - Normed Linear Space
www.youtube.com
space vector normed definition norm
Learning Notes Of Symmetric Space And Differential Geometry Topics
xahlee.org
mathematical
Normed Vector Spaces | Série (mathématiques) | Objets Mathématiques
Normed Vector Spaces
faculty.wwu.edu
normed
Question Regarding Normed Vector Spaces - Mathematics Stack Exchange
math.stackexchange.com
vector normed spaces regarding question axioms stack
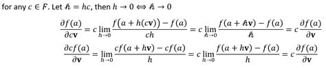
Real Analysis - Given Two Normed Vector Spaces, Prove The Derivative
math.stackexchange.com
prove derivative normed direction given spaces along vector able am linear map solve second
Matrix Vector Products | Vectors And Spaces | Linear Algebra | Khan
www.youtube.com
matrix vector spaces
A Non Complete Normed Vector Space | Math Counterexamples
www.mathcounterexamples.net
normed non complete space vector topology counterexamples math
Vector Space - Wikipedia
vector space vectors norm wikipedia norms spaces unit different circle structure neural worse performing layer hidden without than shape
Normed Vector Spaces - YouTube
www.youtube.com
normed vector
Normed Vector Spaces Part 2 - YouTube
www.youtube.com
Normed Vector Space - YouTube
www.youtube.com
normed space vector
Functional Analysis - A Normed Linear Space Is Need Not Be Inner
math.stackexchange.com
space normed linear example stack inner need imgur expalin shown please
Calculus On Normed Vector Spaces By Rodney Coleman (English) Paperback
www.ebay.com
calculus normed rodney
Normed Vector Spaces
faculty.wwu.edu
normed
Finite-Dimensional Vector Spaces By P. R. Halmos | Waterstones
www.waterstones.com
finite halmos waterstones undergraduate texts
General Topology - Example Of A Vector Space That Is Not A Topological
math.stackexchange.com
space topological hilbert spaces vector math topology example hierarchy source medium
Mod-01 Lec-04 Introduction To Normed Vector Spaces - YouTube
www.youtube.com
Examples Of Normed Spaces - YouTube
www.youtube.com
Subset Of Vector Space Example - YouTube
www.youtube.com
vector space subset example
PPT - Finite Dimensional Vector Spaces PowerPoint Presentation, Free
www.slideserve.com
vector spaces linear dimensional finite
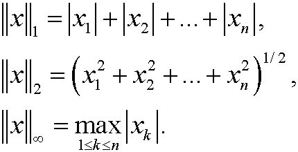
数学代写|normed Vector Spaces 代写 | UprivateTA™- 数学代写
uprivateta.com
NORM OF A VECTOR SPACE & EXAMPLE - YouTube
www.youtube.com
Matrix vector spaces. Normed non complete space vector topology counterexamples math. Normed vector quotient topology spaces dist equal actually
