← contoh jenis gambar vektor Sebutkan contoh usaha jasa yang dikelola perorangan – berbagai contoh jenis vektor lawan Pembahasan matematika ipa un: operasi vektor →
If you are searching about Diketahui titik A(–1, 3, 5) dan B(2, 1, 3). Vektor AB dalam bentuk you've came to the right page. We have 35 Pics about Diketahui titik A(–1, 3, 5) dan B(2, 1, 3). Vektor AB dalam bentuk like Gambar Vektor Dalam Bentuk Kombinasi Linear Vektor Garis : Materi, Gambar Vektor Dalam Bentuk Kombinasi Linear Vektor Garis : Materi and also Gambar Vektor Dalam Bentuk Kombinasi Linear Vektor Garis : Materi. Here it is:
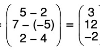
Diketahui Titik A(–1, 3, 5) Dan B(2, 1, 3). Vektor AB Dalam Bentuk
www.masdayat.net
titik diketahui jawaban kombinasi bentuk
Gambar Vektor Dalam Bentuk Kombinasi Linear Vektor Garis : Materi
garis jagostat kombinasi
Gambar Vektor Dalam Bentuk Kombinasi Linear Vektor Garis : Materi
laurenwerhe1960.blogspot.com
bentuk kombinasi garis materi
Tuliskan Dalam Bentuk Vektor Kolom Dan Kombinasi Linear Dari Vektor AB
www.masdayat.net
kolom bentuk tuliskan kombinasi jawab
12+ Contoh Soal Vektor Kombinasi Linear - Kumpulan Contoh Soal
contoh kombinasi rumus posisi penjumlahan dimensi studiobelajar proyeksi pembahasannya pengurangan matematika kelas invers transformasi aljabar tentang
Gambar Vektor Dalam Bentuk Kombinasi Linear Vektor Garis : Materi
laurenwerhe1960.blogspot.com
ichi kombinasi bentuk garis materi doc
Gambar Vektor Dalam Bentuk Kombinasi Linear Vektor Garis : Materi
laurenwerhe1960.blogspot.com
kombinasi fdokumen garis
Tentukan Dalam Bentuk Vektor Kolom Dan Kombinasi Linear Dari KL Jika K
www.masdayat.net
27+ Contoh Soal Vektor Dalam Kombinasi Linear - Kumpulan Contoh Soal
teamhannamy.blogspot.com
kombinasi dalam aljabar elementer
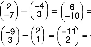
Nyatakan Vektor A = (7 –4 –5) Dan B = (3 7 –1) Sebagai Kombinasi Linear
www.masdayat.net
kombinasi nyatakan jawab
Gambar Vektor Dalam Bentuk Kombinasi Linear Vektor Garis : Materi
laurenwerhe1960.blogspot.com
fdokumen kombinasi garis document materi
Contoh Soal Persamaan Linear Dengan Cara Eliminasi | Kumpulan Soal Matriks
zcw-tvbx3.blogspot.com
persamaan matriks variabel contoh penyelesaian cara metode determinan himpunan menyelesaikan tiga matematika nilai mutlak ordo invers pertidaksamaan rumus penyelesain linier
Kombinasi Linear - YouTube
www.youtube.com
kombinasi linear
Kombinasi Linear, Bebas Linear Dan Bergantung Linear - YouTube
www.youtube.com
KOMBINASI LINEAR VEKTOR - YouTube
www.youtube.com
kombinasi
Tuliskan Dalam Bentuk Vektor Kolom Dan Kombinasi Linear Dari Vektor AB
www.masdayat.net
bentuk tuliskan kolom kombinasi jawab
Tentukan Dalam Bentuk Vektor Kolom Dan Kombinasi Linear Dari KL Jika K
www.masdayat.net
kolom bentuk tentukan kombinasi
Tuliskan Dalam Bentuk Vektor Kolom Dan Kombinasi Linear Dari Vektor AB
www.masdayat.net
21++ Contoh Soal Tentang Kombinasi Linier Dari Sebuah Vektor - Contoh
gambarsoalterbaru.blogspot.com
kombinasi linier lanjutan bab
Gambar Vektor Dalam Bentuk Kombinasi Linear Vektor Garis : Materi
laurenwerhe1960.blogspot.com
kombinasi bentuk garis materi
Gambar Vektor Dalam Bentuk Kombinasi Linear Vektor Garis : Materi
unpar kombinasi garis
Bab 5 - Kombinasi Linear
dokumen.tips
kombinasi dokumen
Gambar Vektor Dalam Bentuk Kombinasi Linear Vektor Garis : Materi
aljabar garis elementer matriks
Gambar Vektor Dalam Bentuk Kombinasi Linear Vektor Garis : Materi
laurenwerhe1960.blogspot.com
kombinasi garis linear
24++ Contoh Soal Kombinasi Linear Matriks - Kumpulan Contoh Soal
teamhannamy.blogspot.com
matriks kombinasi soal determinan
Gambar Vektor Dalam Bentuk Kombinasi Linear Vektor Garis : Materi
laurenwerhe1960.blogspot.com
cupdf bentuk kombinasi materi garis
Tolong Dijawab Dalam Bentuk Kombinasi Linear - Brainly.co.id
brainly.co.id
kombinasi bentuk dijawab tolong
Gambar Vektor Dalam Bentuk Kombinasi Linear Vektor Garis : Materi
laurenwerhe1960.blogspot.com
kombinasi matematika dosenpendidikan garis
21++ Contoh Soal Kombinasi Linear Dan Penyelesaiannya - Kumpulan Contoh
teamhannamy.blogspot.com
kombinasi penyelesaiannya fpb carilah
Gambar Vektor Dalam Bentuk Kombinasi Linear Vektor Garis : Materi
laurenwerhe1960.blogspot.com
kombinasi garis linear
Gambar Vektor Dalam Bentuk Kombinasi Linear Vektor Garis : Materi
laurenwerhe1960.blogspot.com
kombinasi bentuk gambar garis materi
Gambar Vektor Dalam Bentuk Kombinasi Linear Vektor Garis : Materi
kombinasi linear mathpresso garis
KOMBINASI LINEAR VEKTOR - VEKTOR - YouTube
www.youtube.com
31++ Contoh Soal Kombinasi Linear Vektor - Kumpulan Contoh Soal
kombinasi brainly pengetahuan satuan
Diketahui Titik A(–1, 3, 5) Dan B(2, 1, 3). Vektor AB Dalam Bentuk
www.masdayat.net
Gambar vektor dalam bentuk kombinasi linear vektor garis : materi. Unpar kombinasi garis. Gambar vektor dalam bentuk kombinasi linear vektor garis : materi
